Redação do Site Inovação Tecnológica - 13/01/2026

Cristal com jeito de vidro
Pesquisadores da USP (Universidade de São Paulo) e da UFMG (Universidade Federal de Minas Gerais) descobriram um cristal que apresenta uma condutividade térmica tão baixa quanto a de um vidro.
Cristais têm seus átomos organizados, uma ordenação chamada estrutura cristalina, enquanto nos vidros os átomos ficam desordenados, em uma estrutura amorfa, o que inibe a condutividade tanto do calor quanto da eletricidade.
Nos cristais, a condução de calor é governada tanto pelos elétrons quanto por quasipartículas chamadas fônons, que são as menores unidades (quantizações) das vibrações da rede cristalina, o que as torna responsáveis tanto pela condução do calor quanto do som. Enquanto os elétrons desempenham um papel relevante no transporte de calor nos materiais cristalinos, o que inclui os metais, os fônons desempenham o papel central nos isolantes e nos semicondutores.
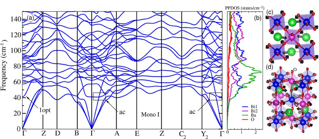
O que a equipe brasileira descobriu é que o bismutato de bário (BaBiO3), apesar de ter seus átomos organizados em um padrão cristalino, apresenta uma condutividade térmica extremamente baixa, comparável à de materiais vítreos, que são amorfos. Isso indica que há algo incomum acontecendo em sua estrutura interna, e algo que pode ter interessantes aplicações práticas.

Múltiplas aplicações
As propriedades térmicas não usuais do BaBiO3 colocam-no como candidato para o projeto de heteroestruturas funcionais, que surgem da combinação de dois ou mais materiais diferentes, geralmente em camadas finas e alternadas, que apresentam propriedades otimizadas ou novas em relação aos materiais que as formam quando considerados separadamente. A quase totalidade dos progressos recentes no campo da microeletrônica se baseia em heteroestruturas.
A descoberta de um comportamento semelhante ao vidro em um material cristalino é interessante também porque indica que o material pode ser empregado, por exemplo, como isolante térmico em componentes que exigem baixa dissipação térmica, ou mesmo como plataforma para o desenvolvimento de novos dispositivos termoelétricos, o que poderá ser conseguido pela dopagem do material.
De modo mais geral, a descoberta da baixa condutividade termal em um material cristalino contribui na busca de novos materiais funcionais com características que possam ser controladas para muitas outras aplicações. Materiais óxidos funcionais, em particular, são compostos que apresentam propriedades físicas ou químicas ainda pouco compreendidas, com grande potencial.
Isso vem enriquecer o arsenal de possibilidades do BaBiO3, que já vem sendo extensamente pesquisado para aplicações em supercondutividade, fotocatálise e outras.